728x90

원화와 위안화는 ‘프록시(Proxy·대리)’ 통화로 여겨진다.

프록시란 ‘대리인’이나 ‘대리하는 것’ 등을 뜻하는 말로 두 통화 가치가 같은 방향으로 움직인다는 의미다.

 

원화와 위안화의 동조화 현상은 한국 경제가 중국과 긴밀하게 얽혀 있기 때문에 발생한다. 수출 의존형인 한국 경제는 최대 수출 시장인 중국의 경제 변화에 민감하게 반응할 수밖에 없다. 지난 2019년 5월 미국과 중국의 무역 전쟁 당시 위안화보다 원화가 더 큰 폭으로 하락했던 것이 대표적인 예다. 해외 자본 유·출입이 상대적으로 자유로운 원화가 ‘선행 지표’ 역할을 한다는 것이다. 때문에 미·중 무역 전쟁 이후 한때 원화가 ‘미·중 관계의 가늠자’란 평가도 받았다.

 

환거래 위험을 분산(헤지)하는 데 위안화보다 원화가 수월하다는 점도 동조화를 가속했다. 외국인 투자자 입장에서 신흥국 자산에 투자할 때 자본 거래 제약이 많은 중국보다 자본의 유·출입이 비교적 자유로운 원화 파생상품을 헤지 수단으로 선호하는 경우가 많아서다.

 

https://www.joongang.co.kr/article/25055916#home

 

점점 더 멀어져 가는 위안화…원화 약세 속 심화하는 디커플링 | 중앙일보

원화 약세와 위안화 강세로 ‘디커플링(탈동조화)’ 현상이 심화하고 있는 것이다. 원화와 위안화의 동조화 현상은 한국 경제가 중국과 긴밀하게 얽혀 있기 때문에 발생한다. 김호정 유안타증

www.joongang.co.kr

 

 

Currency hedge: you hedge using two foreign currencies (home currency is not involved). basically a way to transfer risk rather than hedging risk. Proxy hedge: you hedge using investor’s home currency and a foreign currency highly correlated with currency in which the foreign bond is denominated.

 

lets say you are a US investor (USD is your home / domestic currency). you invest in a japanese bond (bond currency = YEN). you expect japanese bonds to perform well over the period but are not so optimistic about japanese currency or the YEN. but simultaneously, you are bulish on Korean WON currency that it’ll apprecaite over your investing horizon. so you wish to have returns from japanese bond but dont want exposure to YEN. So you enter into a proxy hedge and exchange YEN returns for Korean WON returns. this is proxy hedge.

 

https://www.analystforum.com/t/cross-hedging-vs-proxy-hedging-definitions/52747/11

728x90
728x90

 

"아시아 통화는 일반적으로 경기 초기 확장기에 투자 유입과 수출 증가로 인해 강세를 보입니다. 하지만 후기 경기 확장기에는 상황이 역전되어 오히려 미국과의 금리 차이 등으로 인해 약세를 보일 수 있습니다. 다만 싱가포르 달러와 인도네시아 루피아는 일부 특수 상황으로 인해 예외적인 경우가 될 수 있습니다."

 


Late cycle reflation not a tailwind for Asia FX

: We make the distinction between early cycle reflation and late cycle extension.

 

reflation: 디플레이션에서 벗어나 심한 인플레이션까지는 이르지 않은 상태
경제가 디플레이션(deflation) 상태에서 벗어낫지만 심각한 인플레이션(inflation)을 유발하지 않을 정도로 통화를 재(re-)팽창시키는 것을 의미한다. 즉 디플레이션을 벗어나 어느 정도 물가가 오르는 상태로 만드는 상황을 뜻한다. 

 

tailwind: 뒤에서 부는 바람, 뒷바람, 앞으로 나아가는 데 주는 힘

 

Empirically, both regimes exhibit a tightening-expansion dynamic, with US real rates and break evens rising - as proxies for the policy response and the business cycle.

 

regime: 정권 / 제도, 체제

tightening-expansion dynamic: 경제 상황에 따라 금리가 높아지고 낮아지는 역동적인 과정

real-rate: 실세레이트, 한 나라 통화의 실제의 대외가치를 정확히 반영하고 있는 외국환시세

us real-rate: 미국 실질금리

break even

(1)인플레이션이 반영된 채권과 명목채권 간 수익의 차이 : 음수이면 트레이더들이 경제가 가까운 시일에 deflation을 맞을 것이라 예측한 것 

(2) 인플레이션과 디플레이션 사이에서 손익분기점

 

The difference in yield between inflation-protected and nominal debt of the same maturity. If the breakeven rate is negative it suggests traders are betting the economy may face deflation in the near future.

 

Proxies (대리 변수): 실제 정책 변화 대신에 정책 변화를 나타내는 지표. 이 문맥에서는 미국 실질 금리와 손익분기점이 각각 통화 정책과 경기 순환의 지표? 역할을 한다는 의미

 

Asian currencies perform best in the early cycle, when energy prices and interest rates are low, in turn driving a strong investment cycle that feeds into external demand that suits their manufacturing oriented economic structures.

 

아시아 통화는 일반적으로 경기 초기에는 낮은 에너지 가격과 금리가 투자를 유도하여 제조업 중심 경제 구조에서 수출을 증가시키며, 이는 통화 가치 상승으로 이어진다

 

in turn: 결국, 결과적으로 / 차례차례

feed into~: ~에 반영되다

 

With these factors reversing in the late cycle, firmer activity has begun to hurt Asia FX, with their betas to US break evens drifting into negative territory.

 

하지만  경기 후반에는 이러한 팩터들이 상황이 반전되면서, 더 강력해진 경제 활동은 오히려 아시아 통화 가치에 부담이 되고, 팩터들의 미국 break-even? 기대인플레이션율? 금리 변동에 대한 민감도가 어느새 부정적인?(마이너스?) 국면에 빠지게 마든다

 

drift into: 의식도 못한 사이 ~에 빠지다, ~하게 되다

 

 

The two remaining potential beneficiaries of the cyclical upswing are the SGD and the IDR. 

 

cyclical: 순환하는, 주기적인

upswing: 호전, 상승, 증가 (=upturn)

SGD: 싱가포르 달러

IDR: 인도네시아 루피아

 

The former(SGD) remains a long on our strategy book (vs a basket of low yielders for carry) into the Apr MAS decision, where policy makers are likely to retain their hawkish bias on the back of rising import prices.

 

SGD는 우리의 전략에 투자 포지션 취할 것(수익률 낮은 상품들 대신).

왜냐면 4월 싱가포르 금융관리국 (MAS)의 금리 결정에서 정책 입안자들이 수입가격의 상승에 대응하여 매파적성향(고금리)을 유지하려 할 것이기 때문?

 

Basket of low yielders: 수익률이 낮은 자산들의 집합. 일반적으로 투자자들이 수익률이 높은 자산을 찾는 반면에, 수익률이 낮은 자산들을 포함한 포트폴리오를 언급할 때 사용됨. (ex. 채권, 저금리 예금, 현금 등의 수익률이 상대적으로 낮은 자산들을 하나의 그룹으로 묶어서 언급할 때)

Carry: 저금리 통화를 빌려 금리가 높은 통화로 투자하여 이자 수익 차익을 노리는 투자 전략

Apr MAS decision: 4월 싱가포르 금융관리국 (MAS)의 금리 결정

Hawkish bias: 인플레이션 억제를 위해 금리를 인상할 가능성이 높은 정책 방향

Rising import prices: 수입 가격 상승

 

The latter’s case(IDR) for outperformance is clouded by JCI dividend outflows till Jul and poor FX conversion, though policy support is likely to remain strong at current levels. 

 

Clouded: 불투명하고 예측하기 어려움

dividend outflows: 배당금 유출

JCI dividend outflows till Jul: 7월까지 자카르타 증권 거래소(JCI) 배당금 유출이 발생할 것으로 예상됨

Poor FX conversion: 외환 환전 시 환율 손실이 클 것으로 예상됨

인도네시아 루피아(IDR): 7월까지 자카르타 증권 거래소(JCI)의 배당금 유출과 환전 시 환율 손실이 예상되어 투자 전망이 불투명합니다. 하지만 정부의 통화 가치 안정화 정책 지원은 유지될 것으로 예상됩니다.

 

The rest of Asia make ideal funders in the late cycle, led by the JPY, feeding though to the rest of Asia.

 

경기 후반기에, 일본 엔(JPY)을 포함한 다른 아시아 국가의 통화는, 투자자들이 자금을 빌려 다른 자산에 투자하는 데(캐리 트레이드) 적합합니다. 낮은 금리로 인해 자금 조달 비용이 낮기 때문입니다.

 

funder: 자금 제공자

Ideal funders: 투자자들이 자금을 빌려 다른 자산에 투자하는 데에 적합한 통화 (금리가 낮음)

 


  1. Late cycle reflation: 경기의 막바지 단계에서의 물가 상승.
  2. Tailwind: 경제나 시장에 유리한 영향을 주는 외부 요인.
  3. Early cycle reflation: 경기 초기에 나타나는 물가 상승.
  4. Break evens: 인플레이션과 디플레이션 사이에서 손익분기점을 가리키는 용어.? 아니면 마켓에서 활용하는 기대인플레이션율 지표?
  5. Beta: 투자 포트폴리오나 자산의 변동성에 대한 상대적인 민감도를 나타내는 지표.
  6. SGD: 싱가포르 달러 (Singapore Dollar).
  7. IDR: 인도네시아 루피아 (Indonesian Rupiah).
  8. MAS: 모네타리 당국 (Monetary Authority of Singapore).
  9. JCI: 자카르타 복합 지수 (Jakarta Composite Index).
  10. FX: 외환 (Foreign Exchange).
  11. JPY: 일본 엔 (Japanese Yen).

*물가연동채권(TIPS): 투자 원금에 물가상승률을 반영한 뒤 그에 대한 이자를 지급하는 채권

 

 

The breakeven inflation rate is a market-based measure of expected inflation.

It is the difference between the yield of a nominal bond and an inflation-linked bond of the same maturity.

 

http://www.bondeconomics.com/2014/05/primer-what-is-breakeven-inflation.html

 

Primer: What Is Breakeven Inflation?

The breakeven inflation rate is a market-based measure of expected inflation. It is the difference between the yield of a nominal bond and an inflation-linked bond of the same maturity. In this article, I explain how this concept is used in bond market eco

www.bondeconomics.com

 

728x90

728x90

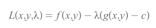
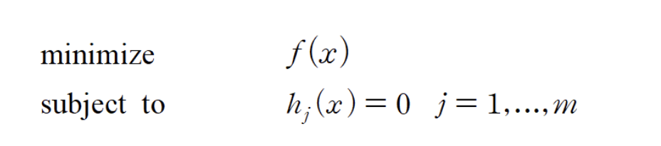
어떤함수 f가 있는데, 제한조건 g가 존재할 때 최댓값/최솟값을 구하는 기법

즉 제한조건이 있는 함수를 해결하는 최적화 기법

제약조건 g를 만족하는 f의 최솟값/최댓값f와 g가 접하는 지점에 존재할 수 있다

 

https://blog.naver.com/gkswns3708/222929779269

그림에서 k값이 움직이면서 함수 f와 g가 접하게 될 때; f함수가 최대 k의 값을 가질 수 있음을 알게 됨

 

위 과정을 벡터의 영역에서 보면: "접선에서의 벡터는 서로 상수배이다"

 

라그랑주 승수법에서 중요한 것은 이 상수배를 위한 람다값!

함수 L의 값이 0이 되는 점을 찾으면, 그 점이 최적화시키고 싶은 함수의 최대/최솟값의 후보가 될 수 있음


https://blog.naver.com/waterforall/222730998200

 

 


refer to

https://blog.naver.com/waterforall/222730998200

 

[최적화(optimization)] 3. 라그랑주 승수법(Lagrange multiplier method) / Matlab fsolve 적용

Intro 최적화 문제는 개념에 대한 이해도 중요하지만, 이론 자체보다도 여러가지 기법들을 '다양한 ...

blog.naver.com

https://blog.naver.com/gkswns3708/222929779269

 

[Math] 라그랑주 승수법(Lagrange Multiplier Method)

Kooc에서 강의를 듣다가 공부해야할 거 같아서 공부하고 정리해봅니다. 라그랑주 승수법은 한마디로 정리...

blog.naver.com

 

728x90

728x90

https://m.blog.naver.com/skye1/221954774883

그냥 이것을 보자 😊😊😊

 

[ 미시경제 ] 3. 소비자이론

#20200510 파트3. 소비자 이론 06 한계효용이론 ▶효용 : 소비자들이 재화나 서비스를 소비할 때 느끼는 주...

blog.naver.com


효용:

우리가 상품을 소비함으로써 얻게 되는 만족

 

1) 효용과 가격: 모든 재화와 서비스는 여러 측면의 만족을 소비자에게 제공하지만 모든 상품들은 시장에서 거래되는 과정에서 공통적으로 가격이라는 하나의 잣대로 측정될 수 있다

2) 효용의 크기는 사람마다 주관적으로 판단됨, but 개별 소비자는 일관성 있게 여러 상품 소비로부터 얻어지는 효용의 크기를 정할 수 있다

3) 한계효용은 소비 수량이 늘어날수록 적어지며 또한 아무리 적어져도 0이나 부(-)가 되지는 않는다

*한계효용: 동일한 재화를 여러 개 소비할 경우 추가로 하나를 더 소비할 때의 효용

 

1), 2), 3) -> 수요곡선 구성

 

효용함수의 독립변수는 한 개일 수도 있고, 두 개일 수도 있다!


 

여러 상품(두 개 이상의 독립변수)의 소비와 효용

 

예시)

 


한계효용 (MU, Marginal Utility):

재화의 소비를 한 단위 변화시킬 때 발생하는 효용의 변화분

- 독립변수가 한 개이면, 하나의 재화를 증가/감소시킬 때 전체 효용이 얼만큼 변화하는지.

- 독립변수가 둘 이상인 경우, 효용함수의 편미분으로 구함

- x1 또는 x2의 작은 변화에 따른 총효용의 변화를 측정

한계효용의 크기는 순전히 효용의 크기에 의존함

한계효용은 항상 양수 (한 재화라도 소비가 증가하면 전체 효용이 증가한다는 '단조성' 가정.)

 

- 따라서 무차별곡선은 우하향함

 

- 따라서 무차별곡선은 원점에서 멀수록 효용수준이 높다

 

- 한계효용 자체를 그래프로 나타내면? (무차별곡선 X)

 

 

 

한계효용 체증/불변/체감

: 한계효용은 갈수록 증가할 수도 있고, 변하지 않을 수도 있고, 갈수록 감소할 수도 있다.

 

각 재화의 한계효용의 체증·불변·체감은 효용함수의 이계도함수의 부호로 나타난다


무차별곡선(Indifference curve)

*무차별: 하나의 무차별곡선은 '동일한 만족수준을 유지'하는 여러 소비점들 나타낸다

- 어떤 재화 x,y가 있을 때 똑같은 효용을 주는 재화 x,y의 조합들을 묶어놓은 곡선

- 하나의 곡선: 동일한 효용

- 소비자에게 각각의 상품이 어떤 대체관계에 있는가에 의해 효용이 정해진다

 

따라서 무차별곡선은 재화가 2개일 때 둘의 대체관계를 (기울기를 통해) 설명할 때 사용됨

서로다른 두 곡선의 효용 차이를 구분할 때에도?

 

사과-바나나 간 무차별곡선

무차별곡선의 성질

1) 효용수준이 다른 무차별곡선은 교차하지 않는다
2) 특정 소비묶음을 지나는 무차별곡선은 항상 유일하게 존재한다

 

 

편향성 무차별곡선

- 하나의 곡선이 '동일한 만족수준/효용'을 나타낸다는 점에서 여전히 '무차별'이지만

- 두 개의 재화 중 소비자의 만족도가 한 쪽에 치우친 경우

 

사과가 바나나보다 훨씬 좋은 경우: 사과편향의 무차별곡선

 

한계대체율(MRS, marginal rate of substitution): 무차별곡선의 기울기

!= 한계효용(MU)

 

무차별곡선의 기울기 = 한계대체율

→ 동일한 효용을 유지할 때 재화1 한 단위를 얻기 위해 포기할 용의가 있는 최대한의 재화2의 양

 무차별곡선의 접선의 기울기에 -1을 곱하거나 절댓값을 취한 것 (무차별이 우하향하므로)

→  각 재화에 대한 한계효용들의 비율과 같음

 

⭐️⭐️⭐️
재화2로 표시한 재화1의 한계대체율 (반대는 역수)
간단히 표현

*MU1 = U 변화분 / x1 변화분

*MU2 = U 변화분 / x2 변화분

따라서 x2 변화분 / x1 변화분 = MU1 / MU2 인 듯.

 

https://m.blog.naver.com/skye1/221954774883

 

https://m.blog.naver.com/skye1/221954774883

 

 

- 소비자이론에서 흔히 가정하는 건: 한계대체율 '체감'

: 무차별곡선을 따라 x1이 증가하고 x2가 감소하는 방향으로 이동하면 한계대체율은 감소한다.(=무차별곡선이 원점을 향해 볼록하다.)

 

*직관적인 전제: '사람들은 자신이 많이 가진 재화보다는 적게 가진 재화를 얻기 위해 다른 재화를 포기하려고 한다'

 


효용극대화 문제:

예산선과 & 무차별곡선을 참조하여 소비자의 최적 선택이 변화하는 양상을 고찰 → 이때에도 한계대체율체감 가정이 합리적임을 논증해줌

 

https://m.blog.naver.com/skye1/221954774883

 

 


그래프 및 자료 출처:

https://m.blog.naver.com/skye1/221954774883 ⭐️⭐️⭐️

https://namu.wiki/w/%ED%9A%A8%EC%9A%A9%ED%95%A8%EC%88%98

https://eiec.kdi.re.kr/material/clickView.do?click_yymm=201512&cidx=987

728x90
728x90

https://news.einfomax.co.kr/news/articleView.html?idxno=4303943

 

금융위 "CD→KOFR 지표금리 체계 전환 본격화 시점" - 연합인포맥스

금융위원회가 국내 지표금리 체계를 한국무위험지표금리인 KOFR(국채·통안채 담보 익일물 RP 금리) 중심으로 전환하기로 했다.금융위는 29일 한국은행과 함께 제3차 지표금리·단기자금시장 협의

news.einfomax.co.kr

 

"CD→KOFR 지표금리 체계 전환 본격화 시점""

 2024.03.29

 

(서울=연합인포맥스) 온다예 기자 = 금융위원회가 국내 지표금리 체계를 한국무위험지표금리인 KOFR(국채·통안채 담보 익일물 RP 금리) 중심으로 전환하기로 했다.

금융위는 29일 한국은행과 함께 제3차 지표금리·단기자금시장 협의회를 열고 이같이 밝혔다.

해외 주요국의 경우 2012년 6월 리보(Libor·런던 은행간 금리) 조작 사건을 계기로 촉발된 글로벌 지표금리 개혁 과정을 거치면서 실거래 기반 무위험지표금리(이하 RFR·Risk-Free Reference Rate)가 파생상품 거래 등의 기준이 되는 지표금리로 정착됐다.

그러나 국내시장에서는 한국무위험지표금리 KOFR의 산출이 이뤄지고 있는데도 여전히 기존에 사용되던 양도성예금증서(CD) 수익률이 파생·현물거래에서 차지하는 비중이 절대적인 상황이다.

CD 수익률의 경우 오랫동안 시장에서 안정적으로 활용됐으나 CD 기초 거래량의 부족으로 수익률 결정이 전문가적 판단에 많이 의존하고 있고 시장 금리 변동을 적시에 반영하지 못한다는 지적이 있었다.

또 글로벌 금리 개혁의 방향이 RFR의 활용을 확대하는 방향으로 진행되면서 CD 수익률 중심의 국내 지표금리 체계가 해외 주요국 지표금리 체계와 상이하다는 점도 문제로 제기됐다.

이날 회의에서 참석자들은 시장 안정을 저해하지 않는 범위에서 KOFR 비중 확대를 위한 제반 작업을 속도감 있게 진행해 나가기로 협의했다.

신진창 금융위 금융정책국장은 "궁극적으로는 우리나라도 글로벌 지표 금리 흐름에 맞게 KOFR 중심으로 전환이 불가피하며 이러한 전환을 위한 행동을 본격화할 시점이 됐다"고 밝혔다.

이와 관련해 한국은행은 KOFR 확산을 위한 첫 단계로 민·관 실무 워킹그룹을 구성했다.

올해 하반기까지 정책금융기관의 KOFR 거래 개시, 은행 간 시범 거래 확산 등 가시적인 성과들이 도출될 수 있도록 노력한다는 방침이다.

출처 : 연합인포맥스(https://news.einfomax.co.kr)

 


꼬리 기사

https://news.einfomax.co.kr/news/articleView.html?idxno=4272484

 

[리보 역사속으로] 탈 많던 금리, 사라진 배경은 - 연합인포맥스

국내외 금융거래에서 준거금리로 광범위하게 쓰이던 리보(LIBOR·런던 은행 간 금리) 산출이 이달부터 완전히 중단됐다.지난 60여년의 세월 동안 글로벌 금융시장의 기준 금리로서 역할을 했던 리

news.einfomax.co.kr

[리보 역사속으로] 탈 많던 금리, 사라진 배경은

2023.07.05

 

[※편집자 주 = 국제금융시장의 대표적인 준거 금리였던 리보(LIBOR·런던 은행 간 금리)가 역사의 뒤안길로 사라졌습니다. 연합인포맥스는 리보의 대체금리로 쓰이는 SOFR(미국 무위험지표 금리)을 점검하고, 한국무위험지표금리(KOFR)에 대한 쓰임도 모색해보는 기획물 두건을 준비했습니다.]

(서울=연합인포맥스) 강수지 기자 = 국내외 금융거래에서 준거금리로 광범위하게 쓰이던 리보(LIBOR·런던 은행 간 금리) 산출이 이달부터 완전히 중단됐다.

지난 60여년의 세월 동안 글로벌 금융시장의 기준 금리로서 역할을 했던 리보 금리는 지난 2012년 호가 은행들의 담합사건을 계기로 신뢰를 잃었다.

이후에도 국내에서 약 10년간 주요 거래에 사용되어 왔으나 말도 많고 탈도 많았던 리보 금리는 2022년부터 단계적으로 산출이 중단되다 올해 7월 비로소 역사 속으로 완전히 사라지게 됐다.

 

◇ 터질 것이 터졌다…2012년 리보 담합사건

리보 금리의 산출 중단의 가장 근본적인 원인은 지난 2012년 발생한 리보금리 담합사건이다.

2012년 바클레이즈와 도이체방크, 소시에테제네랄(SG), UBS, 로열뱅크오브스코틀랜드(RBS) 등 일부 대형 은행들이 허위 자료를 제출해 금리를 조작한 사실이 발각됐다. 몇몇 은행 직원들이 서로 공모해 자신들에게 유리하게 금리를 조작한 것이다.

금리 조작의 장본인은 바클레이즈에서 2005~2007년 동안 근무한 선임 트레이더 필립 모리 유세프였으며 그는 평소 알고 지내던 다른 은행의 트레이더들과 접촉해 금리 조작을 시도한 혐의를 받았다.

당시 영국금융청(FSA)은 바클레이즈에 4억5천만 달러의 벌금을 물렸다. 2006~2008년 사이에 리보 금리를 올리거나 내려달라는 최소 20차례의 요청이 다른 은행에서 바클레이즈로 전달된 혐의를 받았다.

일각에서는 당시 금리 조작이 금융위기와 겹치는 2007~2009년 사이의 은행 건전성을 과장하기 위해 당국의 암묵적인 승인 아래 일어났을 것이란 추정도 나왔지만, 확인되지는 않았다.

리보 조작으로 대형은행들은 총 26억 달러가 넘는 벌금을 부과받았으며 대형 헤지펀드들과 연기금 등 기관 투자자와 개별투자자들이 손해배상 청구 소송에 나섰다.

이를 계기로 당시 영국 잉글랜드 은행(BOE) 총재는 2012년 9월 미국 연방준비제도(Fed) 의장 및 유럽중앙은행(ECB) 총재 등과 만나 리보 산출 과정에 대한 근본적인 개혁을 위한 논의를 제안했으며 점차 리보 금리는 다른 금리로 대체되기 시작했다.

 


 

이들 국제 은행들은 리보금리 은행의 금리 제출 담당자들이 매일 제출하는 적정금리의 평균으로 결정된다는 점을 악용했다.리보금리가 일정 수준 밑으로 낮아질 경우 자신들이 투자한 파생상품에서 손실이 발생할 것을 우려한 트레이더들은 금리 제출 담당자에게 ‘제출금리를 올려 리보금리를 높여달라’고 요청했으며 금리 제출 담당자들은 다른 은행 담당자들에게 ‘높은 수준으로 제출해주면 다음에 도와주겠다’며 담합했다.

은행 관계자들은 거리낌 없이 리보금리를 조작했다. 담합을 조사한 미국 연방검찰청의 보고서에 따르면 2006년 대형은행의 한 트레이더는 “리보금리가 연 4.05% 밑으로 떨어지면 0.0025% 낮아질 때마다 15만달러의 손실이 발생한다”며 이메일로 금리 제출 담당자에게 담합을 요청했다.

https://dic.hankyung.com/economy/view/?seq=10754

 

 

'호가'기반 금리.

→ 금리산출의 기초가 되는 은행 간 자금거래가 활발하지 않을 경우 정보제공은행의 판단이 크게 작용하여 금리의 신뢰성이 감소

1990년 후반 이후 은행의 자금조달 수단이 CD, RP 등으로 다양화되며 은행 간 자금시장이 축소되었고, 2008년 이후에는 글로벌 금융위기의 여파로 은행 간 자금거래의 유동성이 더욱 감소

→ 2012년에는 정보제공은행들의 금리조작 스캔들

 

https://www.kfb.or.kr/libor/status/faq.html

 


 

◇ 리보금리는 어떤 금리였나…'기준금리의 기준금리'

리보 금리는 자본시장에서 하나의 기준점 역할을 하는 금리로 '기준금리의 기준금리'라고 불렸다.

리보는 런던 금융시장에 참가하는 주요 은행 간 자금 거래 시 활용되는 호가 기반 산출 금리로 미국 달러화(USD)와 영국 파운드화(GBP), 일본 엔화(JPY), 유럽 유로화(EUR), 스위스 프랑화(CHF) 등 총 5개 통화로 산출돼 왔다.

과거 영국의 금융산업이 발달하며 영국 은행들의 신용도가 세계 최고 수준을 자랑하던 당시 영국 은행 간 자금 수요를 맞추기 위해 단기로 주고받는 금리 조건을 정하게 됐는데 이때부터 리보금리가 글로벌 금융거래에서 벤치마크 금리로서 역할을 하기 시작했다.

이후 금융중심지로서 영국의 위상이 축소되고 미국 뉴욕시장의 글로벌 영향력이 훨씬 강력해지면서 리보 금리도 점차 역할이 줄었지만, 준거 금리로서의 상징성만은 유지됐다.

지난달 금융감독원은 작년부터 모든 비USD 리보와 일부 USD 리보(1주일물·2개월물) 산출이 일차적으로 중단됐고 이달부터는 잔여 USD 리보(익일물, 1·3·6·12개월물)의 산출이 중단된다고 밝혔다.

국제협회인 금융안정위원회(FSB)는 대체 지표금리의 개발 및 활성화를 권고하는 한편 각국 금융당국에 소관 금융회사들의 기존 리보 연계 금융계약에 대한 대체금리 전환 등을 면밀히 모니터링할 것을 권고해왔다.

이미 지표금리 개혁 흐름에 맞춰 일본은 2016년 12월, 영국은 2017년 4월, 미국은 2017년 6월, 유로 지역은 2018년 9월에 대체 지표금리를 선정한 바 있다.


꼬리 개념

 

LIBOR

- LIBOR는 영국 런던의 은행간 단기자금을 거래할 때 적용하는 금리로, 파생상품, 대출, 채권 등 다양한 금융거래에 기준(지표)금리로 활용

- 런던 소재 패널은행들로부터 은행간 무담보 차입금리 호가를 제출받아 5개 통화*의1일, 1주, 1개월, 2개월, 3개월, 6개월, 12개월 7개 만기별 LIBOR를 매일 산출‧고시 (LIBOR 적용 통화 : USD, EUR, JPY, GBP, CHF) 

- 리보금리는 대표적인 은행 간 호가금리(Interbank Offered Rate, IBOR) 중 하나로, 국제 금융시장에서 각종 변동금리 연계 장외파생상품, 기업 및 가계대출, 자산유동화상품 등의 기준금리(Benchmark Interest Rate)로 널리 활용되어옴


 

RFR(무위험지표금리 / Risk Free Reference Rate)

 

해당국(미국, 영국, EU, 스위스, 일본)은 규제당국, 중앙은행 및 시장참여자 등이 참여하는 워킹그룹을 운영

- 해당국 워킹그룹에서는 무위험지표금리(Risk Free Reference Rate, RFR)를 선정

- 무위험지표금리를 LIBOR의 대체지표금리로 사용할 것을 권고

 

LIBOR RFR
다양한 기간구조:
익일물, 1주일물, 1·2·3·6·12개월물
only 익일물
은행간 호가 금리 실거래 기반 금리
① 기간물로서 다양한 만기에 따른 기간위험
② 은행간호가금리로서의 신용위험을 포함
무위험 익일물 금리의 성격
최대한 기간위험 및 신용위험을 배제한 금리
LIBOR → RFR 시,
① 기간위험 ② 신용위험을 조정하는 값을 반영해야 함

 

출처: KDB 산업은행 'LIBOR 산출 중단 관련 안내'

 

"Changing the world’s most important number(KPMG)"

https://assets.kpmg.com/content/dam/kpmg/in/pdf/2021/03/libor-transition-rfr-risk-free-rate-benchmark-risk-management.pdf

 

 

728x90

728x90

중복조합(combination with repetition)

 

- 중복 허용(replacement o) & 순서 없음

- 조합은 조합인데.. 선택지도 3개 이상이고.. 중복도 허용..?

 

https://images.app.goo.gl/jnn6px5YEUpuHhV46

https://m.blog.naver.com/lty2242/221070717687

728x90

+ Recent posts